β¬ οΈ199. Binary Tree Right Side View
Medium | Grind 75 | January 8th Sunday, 2023
Given the root of a binary tree, imagine yourself standing on the right side of it, return the values of the nodes you can see ordered from top to bottom.
Constraints:
The number of nodes in the tree is in the range
[0, 100].-100 <= Node.val <= 100

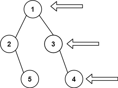
Input: root = [1,2,3,null,5,null,4]
Output: [1,3,4]Input: root = [1,null,3]
Output: [1,3]Input: root = []
Output: []SOLUTION
The right-side view of a tree consists of the nodes that can be seen when the tree is viewed from the right side. To find this view, we will use a queue to traverse the tree level by level, starting at the root. The queue will store the nodes and their corresponding levels. If the current node's level is greater than or equal to the size of the result list, which stores the nodes in the right-side view, it means that we have already processed the rightmost node at that level. If the current node's level is higher than the size of the result list, we will add the current node to the result list. To ensure that we always consider the rightmost node of each level, we will add right child of the current node to the queue before the left child.
# Definition for a binary tree node.
# class TreeNode:
# def __init__(self, val=0, left=None, right=None):
# self.val = val
# self.left = left
# self.right = right
class Solution:
def rightSideView(self, root: Optional[TreeNode]) -> List[int]:
# store the right side view
result = []
# queue to iterate the tree level wise
# contains the node and its level
queue = deque()
if root:
# node: root and level: 1
queue.append((root, 1))
while queue:
node, level = queue.popleft()
# first node of that level
if level > len(result):
result.append(node.val)
# always append the right node first because right side view
if node.right:
queue.append((node.right, level+1))
if node.left:
queue.append((node.left, level+1))
return resultTIME AND SPACE COMPLEXITY
TIME: O(n), where n is the number of nodes in the tree. This is because the code processes each node of the tree once.
SPAC: O(n), because the queue used to store the nodes during the breadth-first search can store up to n nodes at a time in the worst case when the tree is a complete binary tree (i.e., each level is fully filled except possibly the last level, and all nodes are as far left as possible). In the worst case, when the tree is a complete binary tree, the space complexity is O(n). In the best case, when the tree is a straight line, the space complexity is O(1).
* Written with help from ChatGPT *
Last updated